
Günstig und gut? Oder nur günstig? Die Galaxus-Thermosflasche im Test gegen die Konkurrenz
Kann unsere günstige Galaxus-Flasche den Topsellern das heisse Wasser reichen? Um das herauszufinden, haben wir ganz genau gemessen und die Testobjekte sogar zerstört.
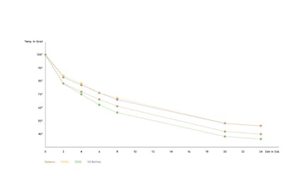
Kürzlich hat das Eigenmarken-Team von Galaxus eine Thermosflasche lanciert. Ein halber Liter passt rein, sie ist schwarz, so weit, so gut. Wobei … nicht richtig gut: In unseren Messungen kam heraus, dass sie ein Getränk nur acht Stunden lang heiss hält. Das «nur» passt hier, weil andere Flaschen eine Heisshaltezeit von von zwölf Stunden angeben, zum Beispiel von Chilly’s und 24 Bottles:
Wie kann das sein? Das war die Frage, auf die ich die Antwort gesucht habe. Mit folgendem Testaufbau: Neben der Galaxus-Thermosflasche und den Markenprodukten oben habe ich noch ein Schweizer Produkt dazugenommen. Die Flasche für Kinder hat laut Hersteller fünf Stunden Warmhaltezeit.
Da sollte sich also gut herausfinden lassen, woher die doch beachtlichen Unterschiede kommen. Von jeder Flasche habe ich drei Exemplare besorgt. In eine haben wir kaltes Wasser gefüllt, in die zweite kochend heisses. In gleichen zeitlichen Abständen habe ich jeweils die Temperatur gemessen und so festgestellt, welches Modell am besten heiss und kalt hält.
Das Ergebnis: In den Flaschen von Chilly’s und 24 Bottles war das Wasser auch nach acht Stunden noch knapp 70 Grad heiss. In der Galaxus-Flasche waren es noch 61 Grad und in der von SIGG noch 56 Grad. Ist das noch «heiss»? Immerhin: 55 oder 60 Grad sind heiss genug, damit Legionellen und Keime zerstört werden.

Im Kältetest gab es ebenfalls messbare Unterschiede: Die Flaschen von Chilly’s und 24 Bottles hielten das acht Grad kalte Wasser länger kühl. In der 24-Bottles-Flasche erwärmte es sich innerhalb von acht Stunden nur um drei Grad.

Eine Frage des Materials?
Wenn du oben aufgepasst hast, erinnerst du dich, dass ich von jeder Marke drei Flaschen besorgt habe. Jeweils zwei waren für den Temperaturtest nötig. Die dritte diente der Materialforschung. Anders gesagt: Wir haben sie aufsägen lassen, um hinter das Geheimnis von schlechter oder guter Isolierung zu kommen. Die Firma Analp Metallbau AG hat uns dabei unterstützt – danke dafür!
Thermosflaschen bestehen aus einer Innen- und einer Aussenhülle. Zwischen beiden befindet sich ein Vakuum. Durch die sogenannte Vakuumisolation wird verhindert, dass der heisse Tee in der Flasche über die Flaschenwand direkten Kontakt zur Umgebungsluft hat. Das Vakuum zwischen den beiden Schichten der Flasche verhindert Konvektion und die Leitung von Wärme. Oder eben Kälte.

Das Innenleben der vier Thermosflaschen im Test lieferte Hinweise, warum die eine besser isoliert als die andere. Bei Chilly’s und 24 Bottles war die Wandstärke dicker als bei den Flaschen von Galaxus und SIGG. Plus: Vor allem beim Modell von 24 Bottles reichte der isolierende Zwischenraum bis weit nach oben in den Verschlussbereich. Bei der Galaxus-Flasche sind die Schichten bereits deutlich früher zusammengeschweisst.
Was muss deine Thermosflasche können? Welche Erfahrungen hast du gemacht? Lass es die Community in einem Kommentar wissen.
Journalist seit 1997. Stationen in Franken, am Bodensee, in Obwalden und Nidwalden sowie in Zürich. Familienvater seit 2014. Experte für redaktionelle Organisation und Motivation. Thematische Schwerpunkte bei Nachhaltigkeit, Werkzeugen fürs Homeoffice, schönen Sachen im Haushalt, kreativen Spielzeugen und Sportartikeln.
Praktische Lösungen für alltägliche Fragen zu Technik, Haushaltstricks und vieles mehr.
Alle anzeigen




